Superdurable Industrial SD Ind Diverse MZY 510 25/1108 / NCS S 1002-B

Produktkod
SD03017450227
Glansgrad / 60°
4 ± 1
Leveranstid
Effekt
Solid
Utseende
Finstruktur
Överlägset väderbeständig pulverfärg i polyesterkvalitet som uppfyller de högsta kraven på hållbarhet för industriella applikationer
1 Enhet(er) med
Superdurable Industrial SD Ind Diverse MZY 510 25/1108 / NCS S 1002-B
Superdurable Industri är en enastående väderbeständig pulverfärg som uppfyller de högsta kraven på beständighet och design.

More Information
Produktnamn Superdurable Industrial SD Ind Diverse MZY 510 25/1108 / NCS S 1002-B
Produktkod SD03017450227
Customer Approval Ericsson
Färgdefinition MZY 510 25/1108 / NCS S 1002-B
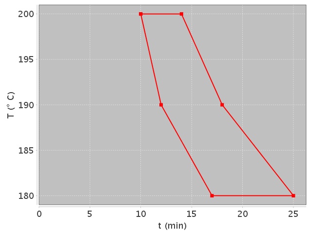
Härdningsbetingelser 10-14 min @ 200°C
12-18 min @ 190°C
17-25 min @ 180°C
Produktegenskaper Superdurable Industri är en enastående väderbeständig pulverfärg som uppfyller de högsta kraven på beständighet och design.
Pulveregenskaper Enastående utomhusbeständighet
Gott korrosionsskydd
Utseende Finstruktur
Härdningsfönster
Tekniskt datablad Visa som PDF
Säkerhetsdatablad Visa som PDF
Serviceinformation Visa som PDF

*Axalta strävar efter att informationen som tillhandahålls är så noggrann och aktuell som möjligt. Denna beräkning baseras på medelvärden och resultatet är endast en vägledning för din beräkning. Följande faktorer leder till skillnader i resultat: Återvinning används ej Förluster vid återvinning, skillnad i skikttjocklek över den lackerade detaljen, förluster under lackeringsprocessen.

Kulörerna på denna websida (eller utskrifter) är inte bindande eller exakta eftersom kulör, ljusstyrka och kontrast kan variera beroende på bildskärm och/eller skrivare. Det går bra att beställa provplåtar på www.axaltacolourit.com.