Superdurable Industrial SD Ind Diverse MZY 510 25/1106
Produktkod
SD03017429927
Glansgrad / 60°
5 ± 1
Leveranstid
Effekt
Solid
Utseende
Finstruktur
Överlägset väderbeständig pulverfärg i polyesterkvalitet som uppfyller de högsta kraven på hållbarhet för industriella applikationer
Superdurable Industri är en enastående väderbeständig pulverfärg som uppfyller de högsta kraven på beständighet och design.
| Produktnamn | Superdurable Industrial SD Ind Diverse MZY 510 25/1106 |
|---|---|
| Produktkod | SD03017429927 |
| Customer Approval | Ericsson |
| Färgdefinition | MZY 510 25/1106 / NCS S 6502-B |
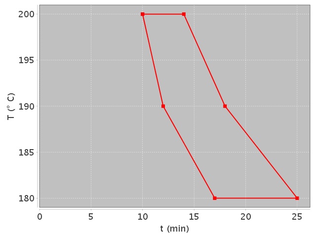
| Härdningsbetingelser | 10-14 min @ 200°C 12-18 min @ 190°C 17-25 min @ 180°C |
| Produktegenskaper | Superdurable Industri är en enastående väderbeständig pulverfärg som uppfyller de högsta kraven på beständighet och design. |
| Pulveregenskaper | Enastående utomhusbeständighet Gott korrosionsskydd |
| Utseende | Finstruktur |
| Härdningsfönster |
|
| Tekniskt datablad | Visa som PDF |
|---|---|
| Säkerhetsdatablad | Visa som PDF |
| Serviceinformation | Visa som PDF |
|---|
*Axalta strävar efter att informationen som tillhandahålls är så noggrann och aktuell som möjligt. Denna beräkning baseras på medelvärden och resultatet är endast en vägledning för din beräkning. Följande faktorer leder till skillnader i resultat: Återvinning används ej Förluster vid återvinning, skillnad i skikttjocklek över den lackerade detaljen, förluster under lackeringsprocessen.
Kulörerna på denna websida (eller utskrifter) är inte bindande eller exakta eftersom kulör, ljusstyrka och kontrast kan variera beroende på bildskärm och/eller skrivare. Det går bra att beställa provplåtar på www.axaltacolourit.com.