Anticorrosive Primer ZF ZeroZinc EDGE PRIME ± RAL 7032
Código de producto
ZF00017121720
Brillo /60º
3,5 ± 1,5
Plazo de entrega
Colección
Anticorrosive Primer
Efecto
Sólido
Aspecto
Extra Mate Liso
Anticorrosive primer offering outstanding corrosion protection
Las imprimaciones anticorrosivas Alesta® ZeroZinc están formuladas empleando la tecnología de reticulación de alta densidad (HDC), formando un revestimiento que aísla al sustrato de su entorno y reduce al máximo el proceso de corrosión. Oferta Alesta® ZeroZinc certificada por Qualisteelcoat.
| Nombre del producto | Anticorrosive Primer ZF ZeroZinc EDGE PRIME ± RAL 7032 |
|---|---|
| Código de producto | ZF00017121720 |
| Definición de color | EDGE PRIME ± RAL 7032 |
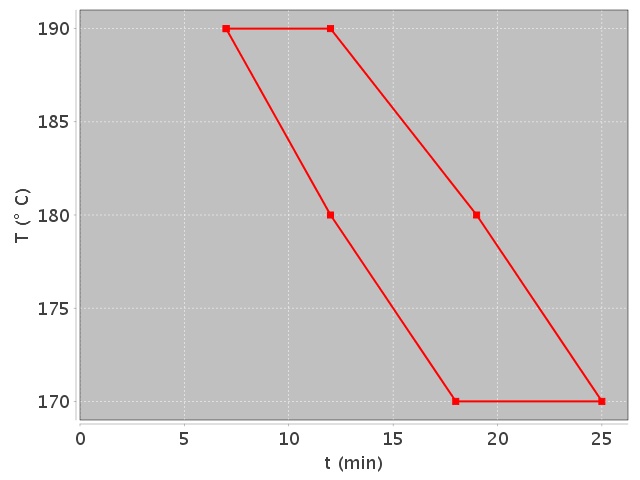
| Condiciones de curado | 18-25 min @ 170°C 12-19 min @ 180°C 7-12 min @ 190°C |
| Características de producto | Las imprimaciones anticorrosivas Alesta® ZeroZinc están formuladas empleando la tecnología de reticulación de alta densidad (HDC), formando un revestimiento que aísla al sustrato de su entorno y reduce al máximo el proceso de corrosión. Oferta Alesta® ZeroZinc certificada por Qualisteelcoat. |
| Propiedades de la pintura en polvo | Excelentes propiedades mecánicas Excepcional protección ante la corrosión Excelente resistencia a los agentes químicos |
| Aspecto | Extra Mate Liso |
| Gráfico de curado |
|
| Hoja de datos técnicos | Mostrar como PDF |
|---|---|
| Hoja de datos de seguridad | Mostrar como PDF |
| Catálogos genéricos | Mostrar como PDF |
|---|---|
| Boletín de información de producto | Mostrar como PDF |
| Boletín de información de servicio | Mostrar como PDF |
*Axalta se esfuerza por garantizar que la información proporcionada sea lo más precisa y actualizada posible. Este cálculo se refiere a valores promedio y el resultado es sólo una guía para su cálculo. Los siguientes factores llevarán a las diferencias de: no uso de reciclaje, pérdida de reciclaje, diferencias de espesor de capa sobre el objeto recubierto, pérdidas durante el proceso de pulverización.
El color de nuestros productos en esta página web no es vinculante debido a que el color, el brillo y el contraste pueden ser diferentes en función de su pantalla o impresora. Puede solicitar paneles de muestra de color en la siguiente dirección www.axaltacolourit.com.